Alle Leistungen anzeigenWertermittlung
Beispiel: Wertgutachten
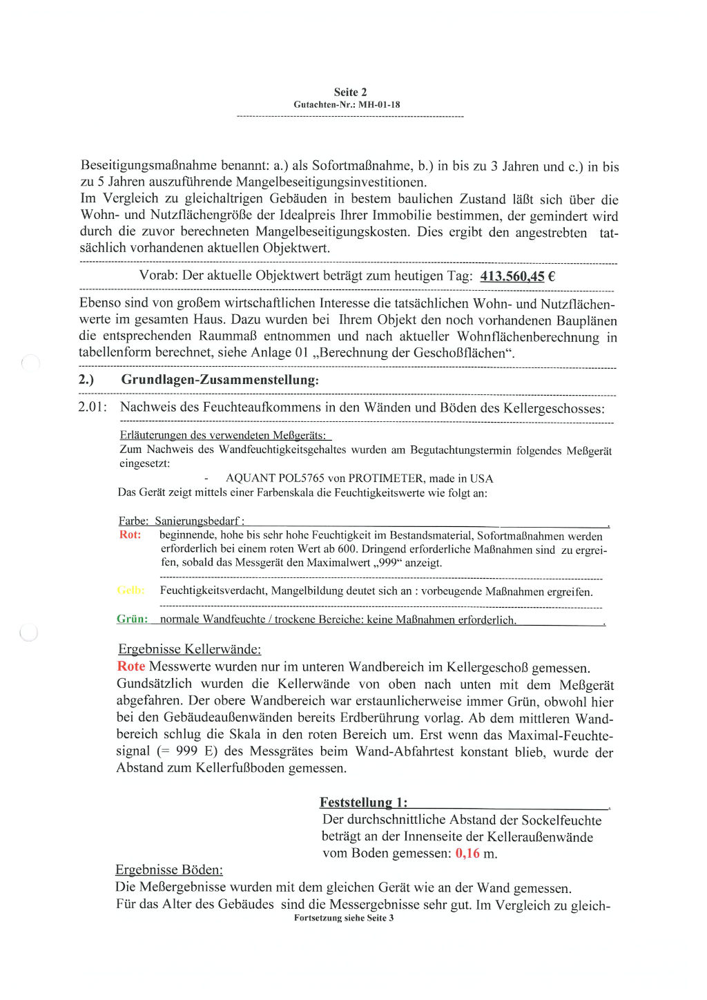
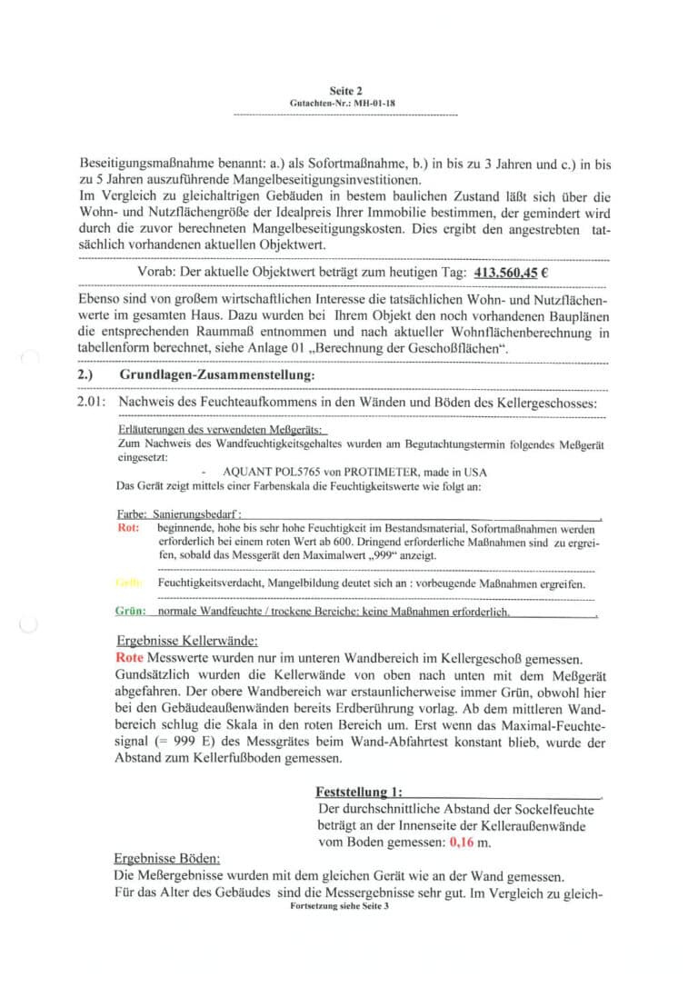
Wohn- und Nutzflächenberechnung, Mängelprotokoll mit Sanierungsschätzkosten mit detaillierter Beschreibung des Sanierungsweges
Alle Leistungen anzeigenWohn- und Nutzflächenberechnung, Mängelprotokoll mit Sanierungsschätzkosten mit detaillierter Beschreibung des Sanierungsweges
Sie sehen gerade einen Platzhalterinhalt von Google Maps. Um auf den eigentlichen Inhalt zuzugreifen, klicken Sie auf die Schaltfläche unten. Bitte beachten Sie, dass dabei Daten an Drittanbieter weitergegeben werden.
Mehr InformationenSie sehen gerade einen Platzhalterinhalt von Facebook. Um auf den eigentlichen Inhalt zuzugreifen, klicken Sie auf die Schaltfläche unten. Bitte beachten Sie, dass dabei Daten an Drittanbieter weitergegeben werden.
Mehr InformationenSie müssen den Inhalt von reCAPTCHA laden, um das Formular abzuschicken. Bitte beachten Sie, dass dabei Daten mit Drittanbietern ausgetauscht werden.
Mehr InformationenSie müssen den Inhalt von Turnstile laden, um das Formular abzuschicken. Bitte beachten Sie, dass dabei Daten mit Drittanbietern ausgetauscht werden.
Mehr Informationen